Précédente

Accueil

Suivante

 

 

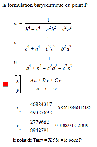
Le point X(98) - Tarry

Une image contenant diagramme, ligne, cercle

Description générée automatiquement

 

 

Précédente

Accueil

Suivante