Précédente

Accueil

Suivante

 

 

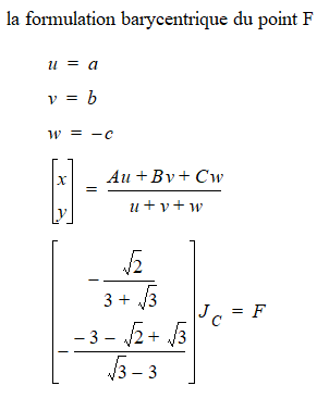
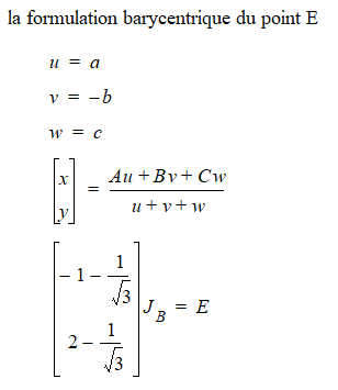
Le point du cercle externe JA, JB, JC

 

 

Précédente

Accueil

Suivante