Précédente

Accueil

Suivante

 

 

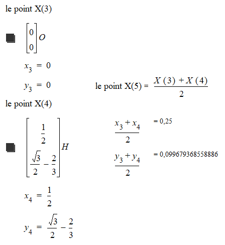
Le point X(5)

 

 

 

 

Précédente

Accueil

Suivante