Précédente

Accueil

Suivante

 

 

Le point X(1)

Une image contenant texte, écriture manuscrite, Police, capture d’écran

Description générée automatiquement

avec le côté du Tr-Q ABC

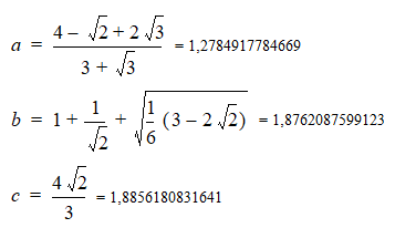
            a, b, c

 

 

 

 

Précédente

Accueil

Suivante