Précédente

Accueil

Suivante

 

 

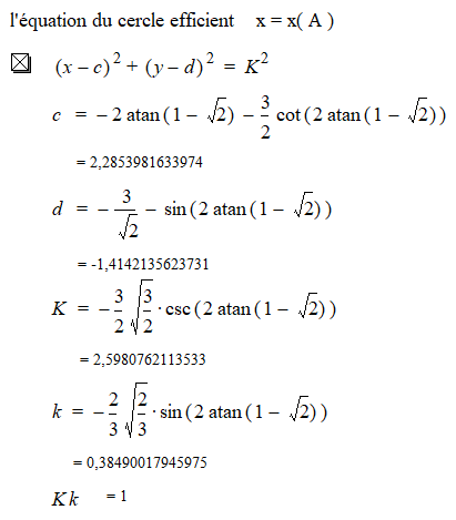
Le point spinodal

 

 

 

 

Précédente

Accueil

Suivante